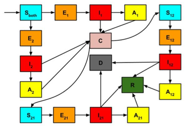
In January 2025, our team developed a compartmental model to simulate the spread of dengue, explicitly incorporating the two main circulating strains of the virus. This approach allows us to account for the complex dynamics linked to cross-immunity. The model is calibrated at the provincial level across all of Thailand, enabling us to capture both local epidemiological variations and the impact of weather conditions such as temperature and rainfall.
